= @nifty「化学の広場」2001年5月の分子 =
●データ引用:田村 忍,『インフルエンザ治療薬』,化学と教育,2001年5月号,p.270

◆ インフルエンザ治療薬/ザナミビルほか ◆
(2001年7月15日掲載)

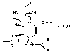
 全国で梅雨明けが進む中で時期はずれの話題になってしまいましたが,新しいタイプのインフルエンザ治療薬の話題です。1999年のインフルエンザシーズンからオーストラリアで発売され,その後アメリカ・EU各国にも広がり,日本でも2001/02/02から保険適用となったザナミビル〔zanamivir〕水和物(商品名はリレンザ(R)〔Relenza〕)です。
 これは,A,B,Cという3つの方に分類されるインフルエンザウィルスのうち,特に重い症状を引き起こす流行株であるA型・B型に対して増殖の抑制作用を示すものです。ウィルスの遺伝子RNA上のノイラミニダーゼ(Neuraminidase,血球凝集素)の酵素活性部位のポケットに入り込んで活性を阻害する分子を,Computational Chemistryによって設計・合成されました。同剤はグラクソ・スミスクライン社から発売され,専用の吸入器で気道に吸い込んで利用するようになっており,他の部位には到達しないために副作用を防ぐことができるとされています。
 またザナミビル同様インフルエンザウィルスに直接作用する薬剤としては,リレンザ(R)と同じ日に保険適用になったリン酸オセルタミビル〔oseltamivir phosphate〕(C16H28N2O4・H3PO4,商品名はタミフル(R)〔Tamiflu〕;A型・B型に有効)や1998年11月末に認可されていた塩酸アマンタジン〔amantadine hydro-chloride〕(C10H17N・HCl,商品名はシンメトレル(R)〔Symmetrel〕;A型に有効)があります。後者は従来パーキンソン症治療薬として用いられていたもので,神経興奮などの副作用が指摘されています。

(詳しくは上記解説と参考Webページをご覧ください)


ザナミビル水和物の構造式


ザナミビルと結合したB型ウィルスのNeuraminidaseの例(PDBデータ1A4Gより作成)


球棒モデル  空間充填  OFF
ラベル  OFF
Electrostatic Potential  Lipophilic Potential

ザナミビル(C12H20N4O7


球棒モデル  空間充填  OFF
ラベル  OFF
Electrostatic Potential  Lipophilic Potential

オセルタミビル(C16H28N2O4


球棒モデル  空間充填  OFF
ラベル  OFF
Electrostatic Potential  Lipophilic Potential

アマンタジン(C10H17N)


「今月の分子」最新版 | 「今月の分子」過去の掲載記事リスト

@nifty「化学の広場」 ‖ 日本化学会 | 『化学と工業』 | 『化学と教育』

※このトピック記事は,「化学の広場」の運営スタッフが毎月交代で担当します(今月の担当:シェーマ).